1. Alternating Current (AC) It is the current which varies in both magnitude as well as direction
alternatively and periodically.
I = I0 sin ωt or I = I0 cosωt where, I0 = peak value or maximum value of AC.
I = I0 sin ωt or I = I0 cosωt where, I0 = peak value or maximum value of AC.
2. Effective Value or rms Value of AC It is defined as the value of AC over a complete cycle which would generate same amount of heat in a given resistors that is generated by steady current in the same resistor and in the same time during a complete cycle.
The 70.7% of peak value of current gives effective or rms value of AC.
3. Average or Mean Value of AC It is defined as the value of AC which would send same amount of charge through a circuit in half-cycle that is sent by steady current in the same time.
4. Alternating emf or Voltage It is the emf which varies in both magnitude as well as direction alternatively and periodically. The instantaneous alternating emf is given by
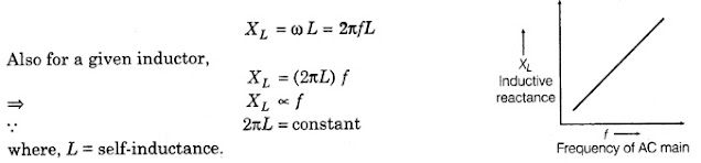
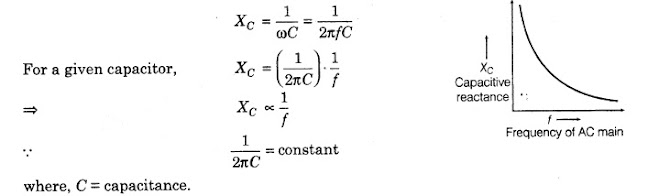
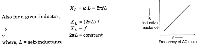
6. Capacitive Reactance (Xc) The opposing nature of
capacitor to the flow of alternating current is called capacitive reactance.
3. Average or Mean Value of AC It is defined as the value of AC which would send same amount of charge through a circuit in half-cycle that is sent by steady current in the same time.
The 63.7% of peak value of AC gives average or mean value of AC.
NOTE: In a complete cycle of AC, the mean value of AC will be zero.
NOTE: In a complete cycle of AC, the mean value of AC will be zero.
4. Alternating emf or Voltage It is the emf which varies in both magnitude as well as direction alternatively and periodically. The instantaneous alternating emf is given by
7. Power In an AC circuit, both emf and current change continuously w.r.t.
time, so in circuit, we have to calculate average power in complete cycle (0 –>
T).
9.
Wattless Current The
current in an AC circuit when average power consumption in AC circuit is zero,
is referred as wattless current or idle current.







